|
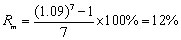
●上证指数反映的情况却完全相反。上证指数从1994年7月25日的最低点325.89点到2001年8月18日的1800点始终在一个上升通道上运行,即使是1996年指数暴涨了3倍仍然没有象样的调整。在2001年3月曾升到2230点的历史最高点,这显然是不断发行新股推高指数所导致的,与股票市场个股的表现完全背离。深成指和上证指数发生了背离走势。图2-4是上证指数和深成指发生背离的示意图。 3.“三段三阶”理论解释国内股票价格指数编制方法的合理性 “三段三阶理论”指出,佛郎克趋势线是国民经济的增长速度在股票市场理论计算的反映。 它的方程式如下: F=A0+CcβRm(T) 根据中国两地股市过去十年的走势,经计算机的大量统计计算,今后5年的修正系数为Ccβ=2.14。随着统计年数的增加,修正系数Ccβ将逐渐趋近于1.00。 Rm是国民生产总值每年算术平均增长率。从1994年到2001年我国国民经济年平均增长率是9%,这是复利增长率,换算为算术平均增长率是:

●国民经济增长趋势线的直线方程式: Ac=C0+12%T ●佛郎克趋势线的斜率: Rf=CcβRm=12%×2.14=26% ●佛郎克趋势线的直线方程式: F=A0+26%T
|