《波动博弈理论长线投资策略》 第二章
《波动博弈理论》 趋势线斜率的示意图(图)
    2007-03-29    周佛郎    来源:清华大学出版社

  (五)趋势线斜率的计算
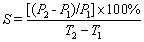
  图2-3是计算趋势线斜率的示意图,在图中:

  相关稿件